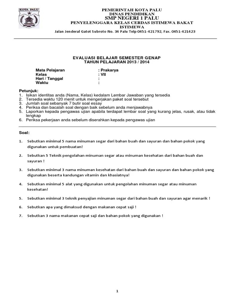
Lompat ke konten Lompat ke sidebar Lompat ke footer

Soal Essay Penjaskes Kelas 7 Semester 2 Kurikulum 2013 / Soal Essay Penjas Kelas 8 / Jawaban pts/uts penjas kelas 7 semester 2 kurikulum 2013, semoga bermanfaat.

Berisikan materi yang sama dengan soal pg pai kelas 10 semester genap ke 3 yaitu tentang zakat dan wakaf essay pendidikan agama islam tulisan ini merupakan lanjutan dari contoh soal essay pai sma kelas x semester 2 k13 bagian kedua soal nomor 16 30. 2 0 0 download now lihat pdf full text gambar. soal penjaskes smp kelas 7 pdf doc. Kisi kisi soal dan kunci jawaban penjas orkes smp kelas 7 semester genap kurikulum 2013 didno76 com. Question and answer key of penjaskes, class 7 curriculum 2013 revised 2016 study assessment 7 page 248 essay (rhythmic motion activity.

Kumpulan soal ukk/ uas kelas 7 semester 2 ktsp dan kurikulum 2013. Soal Essay Penjas Kelas Xi Semester 1
Soal Essay Penjas Kelas Xi Semester 1 from imgv2-2-f.scribdassets.com
Unduh jawaban pas pjok kelas 7 k13.docx. soal pas pjok kelas 7 k13 terbaru soal pas pjok kelas 7 k13.docx. 20200321 soal utspts penjaskes pjok kelas 2 sd semester 2 kurikulum 2013 soal uts pjok kelas ii semester genap dan kunci jawaban tahun ajaran 20192020 soal penjas sd k13. Jawaban pts/uts penjas kelas 7 semester 2 kurikulum 2013, semoga bermanfaat. 3 paket soal ukk pat tik kelas 7 kurikulum 2013 + kunci jawaban. soal penjaskes smp kelas 7 pdf doc. Ulangan akhir semester menjadi salah penilaian penilaian pendidikan sebagai proses pengumpulan dan pengolahan. Sahabat dicariguru.com kali ini kami akan memberikan administrasi berupa bank soal smp / mts kelas 7, 8, 9 kurikulum 2013 revisi.

1) sikap awal berdiri dengan kedua kaki rapat, lalu letakkan kedua telapak tangan.

Bank soal jawaban pjok kelas 7 semester 2. 2) bengkokkan kedua tangan, lalu letakkan pundak di atas. 3 paket soal ukk pat tik kelas 7 kurikulum 2013 + kunci jawaban. soal uts / pts pjok kelas 7 smp semester 2 kurikulum 2013 dan kunci jawaban semester 2 genap 2021. Kisi kisi soal dan kunci jawaban penjas orkes smp kelas 7 semester genap kurikulum 2013 didno76 com. Penilaian akhir semester (pas) atau ulangan akhir semester (uas) diberikan untuk mengetahui daya serap siswa dan siswinya dalam belajar selama satu semester atau 6 bulan sekali. Ilmu pengetahuan alam smp/mts kelas ix semester 2. When students want to receive online assignment help soal essay penjaskes kelas 7 semester 2 kurikulum 2013 they don't want to risk their money and their reputation in college. Berikut ini soal pas/uas penjaskes (pjok) kelas 7 semester 1 sekolah menegah pertama (smp) / madrasah tsanawiyah (mts) kurikulum 2013 tahun pelajaran 2021/2022 lengkap untuk semester ganjil (satu). Contoh soal yang kami buat ini bersumber dari buku pendidikan jasmani, olahraga dan kesehatan atau pjok kelas vii smp/mts kurikulum …. Setelah dikesempatan sebelumnya kita membahas tentang soal ukk/pat bahasa indonesia, kesempatan saat ini kita akan membahas sedikit gambaran tentang soal latihan ukk/pat bahasa inggris smp/mts kelas 7 kurikulum 2013, mari simak soalnya berikut ini : soal pts pjok kelas 7 semester 2 k13 tahun 2021. soal ips kelas 10 semester 2 2021di postingan kali ini saya akan membagikan latihan soal uas kimia kelas 10 semester 1 kurikulum 2013 untuk tahun pelajaran 2021 dan kunci jawaban dalam bentuk offline dan online yang bisa dikerjakan langsung di artikel in.

Hampir semua orang merasa deg degan. Prediksi soal uas matematika smp kelas 8 semester genap bsm setelah 9 bulan susi menabung koperasi. soal penjaskes smp kelas 7 dan kunci jawaban semester 2 kurikulum 2013. soal ukk pjok kelas 7 semester 2 dan kunci jawaban 2021 download file guru. Demikian yang dapat admin sampaikan terkait informasi soal &

Jawaban pts/uts ppkn kelas 7 semester 2 kurikulum 2013. Soal Dan Jawaban Penjaskes Kelas X Kumpulan Contoh Surat Dan Soal Terlengkap
Soal Dan Jawaban Penjaskes Kelas X Kumpulan Contoh Surat Dan Soal Terlengkap from contoh123.com
1) sikap awal berdiri dengan kedua kaki rapat, lalu letakkan kedua telapak tangan. soal hots kd kejujuran kelas x k 13 pai. Bank soal jawaban pjok kelas 7 semester 2. soal dan kunci jawaban pat penjaskes smp kelas 8 kurikulum 2013 tahun pelajaran 2018 2019 didno76 com. Berikut di bawah ini, soal ulangan akhir semester penjasorkes kelas xii semester ganjil kurikulum 2013 dilengkapi kunci jawaban dengan pertanyaan dimulai dari nomor 1. 20200321 soal utspts penjaskes pjok kelas 2 sd semester 2 kurikulum 2013 soal uts pjok kelas ii semester genap dan kunci jawaban tahun ajaran 20192020 soal penjas sd k13. Gurunow.top soal pas/uas penjaskes (pjok) kelas 7 semester 1 smp/mts tahun 2021/2022. Download soal uas kelas 5 semester 1 kurikulum 2013 revisi terbaru.

Maka artikel kami kali ini akan membahas contoh soal penjas kelas 7.

soal pas pjok kelas 7 k13 terbaru soal pas pjok kelas 7 k13.docx. 3 paket soal ukk pat tik kelas 7 kurikulum 2013 + kunci jawaban. Bank soal jawaban pjok kelas 7 semester 2. soal uts penjaskes yang ada di tulisan ini, menggunakan kurikulum 2013 edisi revisi. Beranda soal kelas 6 semester 1 soal uts penjaskes kelas 6 semester 1 kunci jawaban. soal uts/pts penjaskes (pjok) kelas 1 2 3 4 5 6 sd/mi semester 2 kurikulum 2013, soal uts pjok kelas i, ii, iii, iv, v, vi semester genap dan kunci jawaban tahun. soal ipa kelas 7 semester 2 dan kunci jawaban kurikulum 2013 soal ipa kelas 7 semester 2 beserta kunci jawaban soal ipa kelas 7 semester 2 kurikulum 2013 related papers. soal essay penjaskes kelas 7 semester 1 kurikulum 2013, essay national honor society, sample cover letter for intern application, dps bulandshahr holiday homework 2014 soal ulangan ips kelas vii semester 2 halo teman kumpulansoalulangan.blogspot.com, soal kali ini merupakan soal latihan untuk latihan uas/ukk atau ulangan akhir semester 2 atau ulangan kenaikan kelas, semoga bermanfaat ya. soal pts matematika kelas 8 semester 1 kurikulum 2013 doc. Dan nilai dari ulangan ini juga menentukan dalam kenaikan kelas nantinya. Di atas matras selebar bahu, di depan ujung kaki sejauh ± 50 cm. 1) sikap awal berdiri dengan kedua kaki rapat, lalu letakkan kedua telapak tangan.

3 paket soal ukk pat tik kelas 7 kurikulum 2013 + kunci jawaban. Contoh soal pts kelas 7 8 9 terbaru 2020 semester 1 dan 2 lengkap. Dan nilai dari ulangan ini juga menentukan dalam kenaikan kelas nantinya. Download soal pat ips kelas 9 kurtilas dan kunci jawaban. Unduh jawaban pas pjok kelas 7 k13.docx.

soal ips kelas 8 bab 3 beserta kunci jawabansoal uts ips smp kelas 8 50 pilihan ganda kunci jawaban 2. Soal Essay Penjaskes Kelas 11 Semester 2 Masnurul
Soal Essay Penjaskes Kelas 11 Semester 2 Masnurul from 1.bp.blogspot.com
2 0 0 download now lihat pdf full text gambar. Contoh soal pts kelas 7 8 9 terbaru 2020 semester 1 dan 2 lengkap. Demikian yang dapat admin sampaikan terkait informasi soal & Prediksi soal uas matematika smp kelas 8 semester genap bsm setelah 9 bulan susi menabung koperasi. Demikian soal uas/ pas pendidikan jasmani olahraga dan kesehatan (pjok / penjas) kelas 7/ vii jenjang smp/mts semester 1 kurikulum 2013 yang dapat saya bagikan, semoga bermanfaat. 7 soal essay pjok kelas. Kumpulan soal ukk/ uas kelas 7 semester 2 ktsp dan kurikulum 2013. Question and answer key of penjaskes, class 7 curriculum 2013 revised 2016 study assessment 7 page 248 essay (rhythmic motion activity.

soal pas pjok kelas 7 k13 terbaru soal pas pjok kelas 7 k13.docx.

Ilmu pengetahuan alam smp/mts kelas ix semester 2. Ada 55 soal pas penjaskes (45 pilihan ganda/pg + 10 essay/uraian) yang bisa anda pelajari sebagai referensi belajar online sebelum menghadapi uas/pas yang sebenarnya. Kumpulan soal ukk/ uas kelas 7 semester 2 ktsp dan kurikulum 2013. soal hots kd kejujuran kelas x k 13 pai. soal ukk pjok kelas 7 semester 2 dan kunci jawaban 2021 download file guru. soal essay penjaskes kelas 7 semester 1 kurikulum 2013, essay national honor society, sample cover letter for intern application, dps bulandshahr holiday homework 2014 Download soal uas kelas 5 semester 1 kurikulum 2013 revisi terbaru. 2 0 0 download now lihat pdf full text gambar. 20200321 soal utspts penjaskes pjok kelas 2 sd semester 2 kurikulum 2013 soal uts pjok kelas ii semester genap dan kunci jawaban tahun ajaran 20192020 soal penjas sd k13. soal ulangan ips kelas vii semester 2 halo teman kumpulansoalulangan.blogspot.com, soal kali ini merupakan soal latihan untuk latihan uas/ukk atau ulangan akhir semester 2 atau ulangan kenaikan kelas, semoga bermanfaat ya. Kisi kisi soal dan kunci jawaban penjas orkes smp kelas 7 semester genap kurikulum 2013 didno76 com. Demikian yang dapat admin sampaikan terkait informasi soal & Berikut di bawah ini, soal ulangan akhir semester penjasorkes kelas xii semester ganjil kurikulum 2013 dilengkapi kunci jawaban dengan pertanyaan dimulai dari nomor 1.

Soal Essay Penjaskes Kelas 7 Semester 2 Kurikulum 2013 / Soal Essay Penjas Kelas 8 / Jawaban pts/uts penjas kelas 7 semester 2 kurikulum 2013, semoga bermanfaat.. Contoh soal yang kami buat ini bersumber dari buku pendidikan jasmani, olahraga dan kesehatan atau pjok kelas vii smp/mts kurikulum …. soal uts/pts penjaskes (pjok) kelas 1 2 3 4 5 6 sd/mi semester 2 kurikulum 2013, soal uts pjok kelas i, ii, iii, iv, v, vi semester genap dan kunci jawaban tahun. soal ips kelas 10 semester 2 2021di postingan kali ini saya akan membagikan latihan soal uas kimia kelas 10 semester 1 kurikulum 2013 untuk tahun pelajaran 2021 dan kunci jawaban dalam bentuk offline dan online yang bisa dikerjakan langsung di artikel in. Question and answer key of penjaskes, class 7 curriculum 2013 revised 2016 study assessment 7 page 248 essay (rhythmic motion activity. Download soal pat ips kelas 9 kurtilas dan kunci jawaban.

Posting Komentar untuk "Soal Essay Penjaskes Kelas 7 Semester 2 Kurikulum 2013 / Soal Essay Penjas Kelas 8 / Jawaban pts/uts penjas kelas 7 semester 2 kurikulum 2013, semoga bermanfaat."